ASV zinātnieki piedāvā, kā palielināt IKP
ASV zinātnieki apgalvo, ka nodokļu ieņēmumi valstij palielinātos, ja palielinātu nodokli zemei un attiecīgi samazinātu IIN darbaspēkam un NĪN ēkām. Rezultāts - IKP pieaugums un laimīgāki iedzīvotāji.
Sava loģika tur ir, jo..
Nodokļu pamat-kursā māca, ka nodokļus piemērot nekustamajam ir pareizāk, jo tur bāze ir skaidra un to nekur nevar noslēpt. No otras puses, Baltijas kontekstā Latvijā nodokļi nekustamajiem ir augstāki, kā Lietuvā un Igaunijā. No trešās puses, Latvijas 2% no kopējā nodokļu pīrāga vēl būtiski atpaliek no OECD vidējā - 6%.
Kas ar kadastrālajām vērtībām?
Nekustamā īpašuma tirgus jau gadiem ir neziņā, kas notiks ar kadastrālajām vērtībām. Kaut kur nosapņoju, ka FM ir plāns pieturēties pie plāna par kadastrālajām vērtībām vismaz 85% apmērā no tirgus vērtībām, bet samazināt attiecīgi likmes. Protams, jautājumi par apliekamās vērtības noteikšanu un objektu atsāktos ar vēl lielāku sparu. Tajā pat zinātnieku rakstā minēts, ka zemes kā šī nodokļa objektam, būtu jāiekļauj ne vien virszeme, bet arī minerālie resursi, ūdens, saules gaisma un pat elektromagnētiskais spektrs, lai ko tas arī nozīmētu.
IIN sadalījums starp valsti un pašvaldībām
Vēl jau jāņem vērā arī dancis starp valsti un pašvaldībām par IIN sadalījumu starp tām, bet tā kā nekustamā īpašuma nodoklis arī piekrīt pašvaldībām, šai ziņā sloga pārdalei vajadzētu būt neitrālai. ASV zinātnieku piedāvātā nodokļu sloga pārdale pat dotu vairāk iespēju pašvaldībām. Viena no idejām valsts attīstībai tieši bija ļaut vairāk pašvaldībām konkurēt savā starpā.
Kas tur ar tiem ASV zinātniekiem?
Viņi ierosina novirzīt nodokļus no produktīva darbaspēka un kapitāla, kur nodokļi samazina stimulus strādāt un ietaupīt, uz zemi, kas neizkropļo šādus stimulus. Gan nodokļiem bagātībai, gan darbaspēkam ir risks, ka cilvēks paceļ cepuri un dodas prom ar visām zināšanām vai uzkrājumiem. Samazinot IIN, cilvēku plūsma mūsu valsts virzienā tieši varētu palielināties.
Tas atbilst arī Rita de la Feria uc Eiropas zinātnieku teiktajam, ka valstis šobrīd konkurē ne vairs ar UIN, bet ar IIN.
Pamatnostādņu svarīgākais uzdevums: IKP+
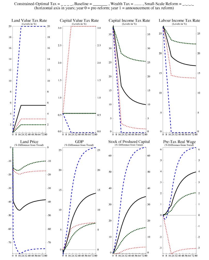
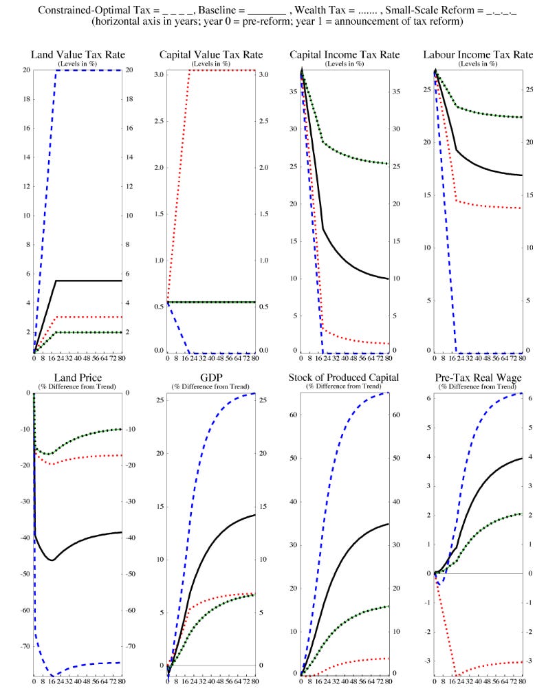
IIN samazināšana darbaspēkam kopsummā ar NĪN atcelšanu ēkām komplektā ar zemes nodokļa (un patēriņa nodokļu) pacelšanu varētu palielināties arī IKP un tādējādi arī iedzīvotāju labklājība (sk. zemāk attiecīgās ASV zinātnieku C.Goodhart, M.Hudson, M.Kumhof, N.Tideman veiktās simulācijas). Simulācijās paredzēti 4 dažādi scenāriji, no kuriem melnā līnija nozīmē reformas pamata modeli, nodoklim zemei palielinoties pa 5%. Protams, te būtu nepieciešami makroekonomikas speciālistu aprēķini ar Latvijai pielāgotiem cipariem un šis jautājums varētu saraukt uzacis daudziem lobētājiem, sevišķi no Skandināvijas mežu īpašnieku puses. Iepriekš jau rakstīju, ka IKP palielināšana ir mūsu nodokļu sistēmas šī brīža svarīgākais uzdevums.
Zemes nodoklis = ESG
Tāpat kā vides nodokļi, šie ASV zinātnieki atsaucas uz Harrison 2012.g. publikāciju, kas apgalvo, ka zemes vērtības nodokļi attur no tukšas spekulācijas ar zemi un vietu nepietiekamu izmantošanu, izšķērdēšanu un tā vietā veicina zemes plašāku attīstību. Zemei tad būs lielāka vērtība, uz kuras nevarēs atļauties vienkārši sēdēt - ar to būs kaut ko jādara. Kaut vai jāuzbūvē golfa laukumu vai jāiznomā kādam biznesam.
Tieši tas, kas mums nepieciešams, jo izvēlē starp trīs pamata resursiem - darbaspēku, kapitālu un zemi, pirmie divi mums trūkst, bet trešais ir pārpārēm.
Interesanti papildus secinājumi
Attiecīgajā rakstā autori atsaucās arī uz Plassmann un Tideman 2000.g. veikto novērojumu, kurā secināts, ka NĪN samazinājums ASV par 1% palielināja būvniecības nozari pa aptuveni 16%.
Pie zemes nodokļa celšanas pieķerot zinātnieku pieminēto patēriņa nodokļu celšanu, mēs vēl vairāk virzītos uz Igaunijas sistēmas pusi - tur jau sen nav NĪN ēkām un nesen nolemts paaugstināt PVN.
Reformas rezultātā budžets neko nezaudētu, bet tas radītu nepieciešamo grūdienu ekonomikā tās (output) palielināšanai.
Zinātnieki rakstā prognozē, ka šim modelim jāstrādā vairumā valstu.
Tā kā sākotnēji prognozēts zemes cenas kritums, zinātnieki piedāvā sākumā nelielāku zemes nodokļa palielinājumu (pa 2%) un attiecīgu IIN samazinājumu (ar zaļu krāsu). Tomēr tad IKP palielinātos ne vairs pa 15%, bet ‘tikai’ pa 7%.
Nekustamo īpašumu nodokļiem daudz problēmu
Šim pasākumam, ja tāds notiktos, būtu jāiet roku rokā ar citu ar nekustamā īpašuma nodokļiem saistītajiem pasākumiem, par kuriem jau rakstīju iepriekš, piemēram, te.




Manuprāt, šis tiek apspriests jau diezgan sen. Kopumā, NĪN celšana ir visai loģiskais solis un, cik saprotu, par to īsti strīda (lēmjošo personu lokā) nav (vēl jo vairāk, ja tas tiks darīts kopā ar IIN samazināšanu). Jautājums ir drīzāk par to, kā to darīt - nevaru teikt, ka ļoti sekoju tam līdzi, bet no pēdējiem gadiem atceros vismaz divas koncepcijas: (1) kadastrālās vērtības celšana/pietuvināšanas tirgus vērtībai, (2) likmes palielināšana, bet ar pirmā īpašuma atbrīvojumu. Pirmais variants, cik es saprotu, neaizgāja (pareizāk, droši vien, ļoti bremzē) dēļ tā, ka no Jūrmalas būtu jābrauc projām visiem "parastiem cilvēkiem" (kaut gan man šis arguments nešķiet loģisks - ja reiz vieta tirgus attīstības rezultātā(!) kļūst dārgākā un tu vairs nevari tādu atļauties - pārdod zemi un iegādājies tur, kur var atļauties + vēl nopelnīsi + nebūs mākslīgi jāveido tirgum prētējo situāciju). Otrais neaizgāja tādēļ, ka dažiem ir tikai viens īpašums, bet tā ir miljoniem vērta pils, bet dažiem ir divas dārzu mājiņas - šādos apstākļos maksā tikai otrais, kas acīmredzami neatbilst attiecīga nodokļa mērķim (šis variants tik tiešām ir nepārdomāts, bet ja "neapliekamu minimumu" veidot ne no NĪ skaita, bet no kad.vērtības, tad, man šķiet, veidotos visai loģiskā konstrukcija: dzīvojamai telpai par pirmajiem XXX tūkstošiem no kad.vērtības nodokļis netiek piemērots - nezinu vai šis variants bija piedāvāts).
Bet vēlmi uzrakstīt šo komentāru izraisīja pašvladību jautājuma pieminēšanā rakstā. Sabiedriskajā darbībā pēdējā laikā esmu periodiski iesaistīts pašvaldību jautājumos, un no šī redzespunkta teiktu, ka pirms vērtēt IIN vs. NĪN ritlodziņa (vai pareizais vārds? domāts paredzāmo ieņēmumu sadalījumu starp šiem nodokļiem) bīdīšanas ietekmi uz pašvaldībām ir jāsakārto pašvaldības izlīdzināšanas fonda darbība (nebiju vēl pētījis, vai un kā to ietekmēja jaunā Pašvaldību likuma pieņemšana, iespējams situācija beidzot sāka kustēties uz labo pusi), jo citādi pastāv (manuprāt, liels) risks, ka labas un tirgus ekonomikā balstītas idejas nodokļu sadalē tiks izjauktas ar "lūdzošās ekonomikas" (kā to sauc LTRK priekšsēdētājs Rostovska kungs) izpausmēm un tml. (proti, ja galu galā konkrētai pašvaldībai piekrituša nodokļu nauda tālāk tiks sadalīta ar izlīdzināšanas fonda starpniecību, kam ar tirgus ekonomiku ir mazs sakars, tad pat ļoti pareizajam sākotnējam sadalījumam būs visai maza nozīme).